Hi everybody,
I wish to write one very serious blog post about my theory for long-term capital growth through Forex trading. I must say, if I win these Contest I already have a plan how to trade 10.000 USD – the winning prize in money for trading.
It is easy to wear in luxurious clothes and shoes, diamonds and fur … and I know all participants want this, including me! But work and trade on forex market!? Only few ladies here know how to trade on forex market and I really respect them! Some are really involved here with their quality, while others only insert photos. I'm not that type of woman and playing with photos of me is not my big preoccupation here. I really do not have much time to take photos of me, although I know I have the beauty (inside and outside beauty). Maybe because I am a serious woman who wants to work, to show my knowledge and get a chance to win money for the work that I love and prefer.
If I'm going to be groomed and well dressed while I work, to get more clients, there's no better feeling of my pride and happiness! After all, I'm a woman with attitude!
))
As I promised to myself, I am writing here about my strategy and theory for long-term capital growth through Forex trading. I personally am a numbers person and enjoy working with figures.
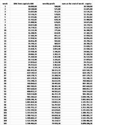
I made this list and the sums are already crazy, considering what you can earn in one month.
And now to the list:
You should generate daily 10 pips so per week that is 50 pips. With an investment of $10.000 you can reach after 2 years = $1.678.326,31
An example:
$10.000 deposit
In the first week:
Set with leverage x100 = $1000 = 10 pips profit = $1.100 (1.000+10%=1.100)
After a week with daily 10 pips profit, you have the equity of $10.500,00
Then, the 2nd week:
Now you use your $10.500.00 with leverage x100. Again you repeat this every day and earn the 10 pips.
The trades can also be done with leverage x25, then simply take the amount by 4. This version is much more relaxed and as profit you set the 10. Here I don’t calculate spread. And so it goes on one week after another. If all trades are closed again, just take 10% of the capital again with leverage x100.
The list also displays what amount you should earn in each week. With Forex it is quite normal that you have great months and others with less profit. You have to just simply wait. Once it rattles like a sewing machine and then there are times when nothing goes. Then you need to keep your nerves under control.
For traders who are not so brave: Before 4 months the initial capital doubled. Here you can start all over again and work only with the profits. I think it’s just a good idea for beginners, because the trading is more relaxed because you don’t use private equity. It’s easier to make 10 pips per day than making 60 or 100 at once. You should not become greedy, because my motto is GREED EATS BRAIN. You do not need 800% in your statistics, which are only reachable with high risk.
You have to prove to anyone how great you are. With this list, you have a goal; you can secure the trade with 1000 pips when the market goes against you. Look forward to successful trades with 10 pips a day. As a successful trader you should make money long term, with a smaller risk. Very few have become a millionaire overnight, but what is 2 years.
And even if you, like me, stick to it only for one year and the sums are becoming too big, than cash out. Start again, without private capital, only with the profits from last year and look how far you can get.
I hope I could tell you everything reasonably well explained. Writing this was very, very hard work. It would be nice to know how you like it, or who wants to work with the list. I need your feedback! Any comments? Suggestions?
I made this table in Excel and I just hide some rows because it is to long table for reading! You have till 24th week and then after 85th week. Enjoy!
I wish you all much success.
I wish to win this Contest to make real this plan, to finally get the opportunity for trading for a living. Vote for me! Thank you!
))
